
В статье представлен весьма оригинальный взгляд на природу тяготения материи к центрам всех планет и звёзд. Автор обосновывает, что всемирного тяготения не существует. Для большинства людей это нонсенс. Однако он предлагает рассмотреть его гипотезу механической природы гравитации, которая, по его мнению, является следствием центробежных сил вращения материи в космической механике Вселенной. При этом автор говорит о возможности преобразования гравитации в полезную энергию посредством градостроительных технологий. Интересно, может ли это воплотиться в нашу жизнь?
Уважаемые читатели, позвольте представить вашему вниманию одну из моих работ, которая, как мне видится, может принести всеобщую пользу.
Общеизвестно, что уровень развития каждой страны и благополучия народа напрямую связаны с его способностью творить – делать открытия, генерировать идеи, изобретать, создавать и внедрять инновации. Сегодня в Мире происходит технологическое гиперразвитие. Однако неизменным и главенствующим вопросом был и всегда будет вопрос обеспечения любой страны жизненными ресурсами. Очевидным видится то, что технологии использования неиссякаемых источников энергии явятся ключевыми факторами будущего устойчивого развития нашей цивилизации.
В этой связи мы, первоочерёдно, рассмотрим фундаментальную парадигму неиссякаемых источников энергии, которая, по моему мнению, напрямую связана с гравитацией. Для этого мы вникнем, с точки зрения философии, физики, математики и механики, в космические вопросы, а после ознакомимся с возможностью прикладного использования гравитации и других неиссякаемых источников в системах ресурсонезависимого градостроительства и коммунального хозяйства. Такой алгоритм изложения статьи, несколько с юмором, я назову так:
Необходимость этого «космического полёта» объясняется тем, что в своих познаниях человечество, объективно, имеет пробел, дисбаланс между познанием микро- и макромира. Мы знаем строение атома, работаем с наночастицами, развиваем биоинженерию, но понимания причин тяготения материи в центр планет и звёзд – природы гравитации, мы не имеем.
Узнав истину о природе гравитации, человечество будет смотреть на неё, как на неиссякаемый, самый мощный, стабильный и прогнозируемый на Земле источник энергии, идущий из космоса Вселенной.
Итак, «пристегнём ремни, летим в космос за пониманием гравитации»:
В современной науке под гравитацией понимается – наислабейшее фундаментальное взаимодействие всех материальных тел Вселенной в виде их взаимного тяготения друг к другу, отражённое в законе всемирного тяготения Ньютона и общей теории относительности Эйнштейна.
Однако, соответствует ли это реальности? Ведь очевидно, что под воздействием гравитации в космическом пространстве материя стремится точно в эпицентры сфер звёзд и планет, где происходит наисильнейшее механическое сжатие материи и, как следствие, термоядерные реакции с явлением плазмы (излучением звёздами в открытый космос света и тепла). При этом взаимообусловленно происходит наиглубочайшее разряжение пространства Вселенной – деконцентрация материи – космический вакуум.
Возможно, недооценка этих объективных космических процессов существует по причине допущенной наукой в XVII в. ошибки, а именно: поспешное принятие закона всемирного тяготения без обоснований и доказательств причин тяготения. Не случилось ли так, что именно это повело науку, в части познания гравитации, по неверному пути, осложнило её изучение, то есть повлекло новые мало обоснованные «открытия» и «понятия»: гравитационное излучение, гравитационные поля, кривизна пространства, гравитоны и т.п.?
При этом на человека, заявляющего, что всемирного тяготения нет, падает «тень сомнения» в его адекватности. В обиход вошло выражение: «Ну, Вы, я надеюсь, не будете отвергать всемирное тяготение?». Это произносят люди, желающие сказать оппоненту, что отстаиваемый ими взгляд есть догма, другого не может быть, потому, что быть не может.
Неоднократно мне приходилось ощущать на себе такую «тень». Но, надеюсь, что эта статья обоснует механическую природу гравитации.
В этой связи, будем справедливыми, и вникнем в закон всемирного тяготения, сформулированный Исааком Ньютоном. В основе закона лежат наблюдения за картиной небесной механики орбитального движения звёзд и планет и тяготением материальных тел к Земле (вспомним «яблоко Ньютона»). Ньютон, констатируя наблюдаемую картину, предположил, как и большинство учёных, что все предметы, материя, звёзды и планеты имеют взаимное тяготение, и сформулировал математический аппарат расчёта силы гравитационного притяжения двух тел (обратите внимание – двух тел), введя гравитационную постоянную (константу) – G. Рассмотрим эту формулу:
F = G · ((m1 · m2) : R2),
где: F – сила гравитации;
G – гравитационная постоянная (константа) = (м3·с−2·кг−1)= 6,67·10 -11
m1 – масса первого тела (кг);
m2 – масса второго тела (кг);
R – расстояние между центрами тел (м).
Хочу ещё раз обратить внимание на то, что с помощью этой формулы производится расчёт силы гравитационного притяжения только двух тел и не учитывается факт того, что в космической механике такого физически не существует, чтобы в этом процессе участвовало только два тела. К примеру, при расчёте силы взаимного тяготения Земли и Луны (в случае наличия всемирного тяготения) никак не получится исключить влияние на Луну тяготения Солнца, других объектов Солнечной системы и Галактики в целом.
Следовательно, закон всемирного тяготения сам противоречит себе – при расчёте силы притяжения Земли и Луны исключается сила тяготения Солнца и других объектов Солнечной системы и Галактики в целом.
Более того, в формуле закона всемирного тяготения не учитываются также центробежные силы космических тел, одновременно вращающихся вокруг большого числа осей. И это несмотря на то, что данный закон напрямую касается тел механической системы, в которой, к примеру, Луна одновременно вращается вокруг Земли, вокруг Солнца и вокруг центра нашей Галактики, которая также вращается во Вселенной.
Так что же конкретно произошло в науке с познанием гравитации, и может ли формула Ньютона называться законом всемирного тяготения?
Понимать это архиважно, так как человечеству необходимо в своём развитии уже сегодня иметь объективные фундаментальные исходные данные о природе гравитации и, следовательно, о возможности получения энергии путём преобразования гравитации.
Исаак Ньютон, при формулировке закона всемирного тяготения, будучи гениальным математиком, определил универсальное число (G), как гравитационную постоянную (константу). Он констатировал обстоятельства в космосе при помощи математического аппарата, не более того. Однако применять эту формулу для расчёта, например, одновременного притяжения Луны к Солнцу и к Земле, не представляется возможным.
При этом Ньютон и сам ведь не скрывал, что не раскрыл природу гравитации и не описал её. Будучи верующим человеком, он называл её мистическим божественным явлением. Альберт Эйнштейн также полагал, что все материальные предметы, объекты и космические тела имеют взаимное тяготение, однако открыть и описать эти причины он не смог.
Вспомним некоторые исторические высказывания:
Не правда ли, странные высказывания, особенно Ньютона (при моём глубочайшем искреннем уважении к этому гению и великому учёному). Неужели учёный имеет иную возможность, кроме как исходя от собственных десятков и сотен внутренних гипотетических измышлений (воображений) начинать научную работу? При этом сам закон Ньютона, не объясняет причин тяготения. Возможно, таким высказыванием, Ньютон отстаивал свой закон, для опровержения которого требовалась иная формула, а не гипотеза.
Будем вновь справедливыми и признаем, что гравитация так и осталась в физике необъяснимым явлением. Несмотря на это, человечество считает, что всемирное тяготение существует. Выходит, всё человечество подверглось мнению учёных, которые не открыли и не описали причин тяготения.
Вспомним, ведь было время, когда человечество считало, что Земля плоская, а тех учёных, которые выдвигали гипотезы о том, что Земля круглая и вращается вокруг своей оси и Солнца – в «тень», или в «костёр».
И сегодня наука нам говорит, а по сути, преподаёт, что Луна, вращаясь вокруг Земли, удерживается на орбите за счёт равновесия центробежной силы её вращения и силы её тяготения к Земле. Однако, какими бы уравнениями мы не пользовались для производства этих расчётов (линейными или интегральными), мы будем ясно видеть, что равенства центробежных сил и сил тяготения небесных тел физически не существует.
В условиях вращения небесных тел, якобы, имеющих взаимное тяготение, результирующие силы (суммы центробежных сил и сил тяготения) в определённых участках орбитального их вращения суммируются, а в других участках, наоборот – в разы колоссально разнятся. При таких условиях в принципе не может быть равновесия указанных сил при орбитальном вращении космических тел. Ниже представлены этому доказательства – математические расчёты сил притяжения Земли и Луны, Солнца и Луны, а также центробежных сил вращения Луны вокруг Земли и Солнца в различные лунные фазы орбитального вращения. Эти расчёты произведены по формулам классической механики и закона Ньютона. Читатели на своё усмотрение могут рассмотреть расчёты, либо обратиться к их результатам.
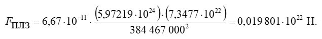
Расчёт № 1. Сила притяжения Луны и Земли:
FПЛЗ = G · ((m1 · m2) : R2),
где G – гравитационная постоянная (м3·с−2·кг−1)
m1 – масса Земли (кг);
m2 – масса Луны (кг);
R – расстояние между центрами сфер тела Земли и тела Луны (м).

Расчёт № 2. Сила притяжения Луны и Солнца в новолуние (при максимальном приближении Луны к Солнцу) :
FПЛСН = G · ((m1 · m2) : R2),
где G – гравитационная постоянная (м3·с−2·кг−1);
m1 – масса Солнца (кг);
m2 – масса Луны (кг);
R – расстояние между центрами масс тела Солнца и тела Луны (м).

Расчёт № 3. Сила притяжения Луны и Солнца в полнолуние (при максимальном удалении Луны от Солнца):
FПЛСП = G · ((m1 · m2) : R2),
где G – гравитационная постоянная (м3·с−2·кг−1);
m1 – масса Солнца (кг);
m2 – масса Луны (кг);
R – расстояние между центрами масс тела Солнца и тела Луны (м).

Расчёт № 4. Центробежная сила вращения Луны вокруг Земли:
FЦЛЗ = m · V 2 : R,
где m – масса Луны (кг);
V – орбитальная скорость (м/с);
R – расстояние между центрами сфер тела Земли и тела Луны (м).
FЦЛЗ = 7,3477·1022 · 10232 : 384 467 000 = 0, 020 000 · 1022 Н.
Расчёт № 5. Центробежная сила вращения Луны вокруг Солнца в новолуние (при максимальном приближении Луны к Солнцу):
FЦЛСН = m · V2 : R,
где m – масса Луны (кг);
V – орбитальная скорость (м/с) (в соответствии с орбитальной скоростью Земли);
R – расстояние между центрами сфер тела Солнца и тела Луны в новолуние (м).
FЦ = 7,3477 · 1022 · 29 7832 : 149 915 291 100 = 0,043 475 · 1022 Н.
Расчёт № 6. Центробежная сила вращения Луны вокруг Солнца в полнолуние (при максимальном удалении Луны от Солнца):
FЦЛСП = m·V 2 : R,
где m – масса Луны (кг);
V – орбитальная скорость (м/с) (в соответствии с орбитальной скоростью Земли);
R – расстояние между центрами масс тела Солнца и тела Луны в полнолуние (м).
FЦ = 7,3477 · 1022 · 29 7832 : 150 684 225 100 = 0,043 253 · 1022 Н.
Расчёт № 7. Результирующая сила взаимодействий (слияния) и рассогласованности сил притяжения Луны и Солнца в новолуние, Луны и Земли, центробежной силы вращения Луны вокруг Земли и вокруг Солнца в новолуние (в период максимального приближения Луны к Солнцу, когда векторы сил притяжения Луны с Солнцем и с Землёй полностью противоположны друг другу, как и противоположны друг другу векторы сил центробежного вращения Луны вокруг Солнца и Земли, при этом вектор силы притяжения Луны и Солнца совпадает с вектором центробежной силы вращения Луны вокруг Земли, как и совпадает вектор притяжения Луны и Земли с вектором центробежной силы вращения Луны вокруг Солнца):
FРВРН = (FПЛС + FЦЛЗ) – (FПЗЛ + FЦЛС),
где FРВРН – результирующая сила взаимодействия (слияния) и рассогласованности сил в новолуние;
FПСЛ – сила притяжения Луны и Солнца в новолуние (Н);
FЦЛЗ – центробежная сила вращения Луны вокруг Земли (Н);
FПЗЛ – сила притяжения Луны и Земли (Н);
FЦЛС – центробежная сила вращения Луны вокруг Солнца в новолуние (Н).
FРВРН = (0,043 371·1022 + 0,020 000·1022) – (0,019 801·1022 + 0,043 475·1022) = 0,063 371 (сила, направленная к центру Солнца) – 0,063 276 (сила, направленная от центра Солнца) = 0,000 095 ·1022 Н (сила, направленная к центру Солнца).
Расчёт № 8. Результирующая сила взаимодействий (слияния) и рассогласованности сил притяжения Луны и Солнца в полнолуние, Луны и Земли, центробежной силы вращения Луны вокруг Земли и вокруг Солнца в полнолуние (в период максимального удаления Луны от Солнца, когда векторы сил центробежного вращения Луны вокруг Солнца и Земли полностью совпадают, как и полностью совпадают векторы сил притяжения Луны к Солнцу и Земле, при этом векторы этих центробежных сил противоположны векторам указанных сил притяжения):
FРВРП = (FЦЛС + FЦЛЗ) – (FПСЛ + FПЗЛ),
где FРВРП – результирующая сила взаимодействия и рассогласованности сил в полнолуние (Н);
FЦЛС – сила центробежного вращения Луны вокруг Солнца в полнолуние (Н);
FЦЛЗ – центробежная сила вращения Луны вокруг Земли (Н).
FПСЛ – сила притяжения Солнца и Луны в полнолуние (Н);
FПЗЛ – сила притяжения Земли и Луны (Н).
FРВРП = (0,043 253·1022 + 0,020 000·1022) – (0,042 929 ·1022 + 0,019 801·1022) = 0,063 253 (сила, направленная от центра Солнца) – 0,062 730 (сила, направленная к центру Солнца) = 0,000 523·1022Н (сила, направленная от центра Солнца).
Таблица. Сводные показатели расчётов сил притяжения Луны с Солнцем, Луны с Землёй, центробежных сил вращения Луны вокруг Солнца и вокруг Земли
| № | Название расчёта | Результат расчёта, × 1022 Н |
| 1 | Сила притяжения Луны и Земли, FПЛЗ | 0,019 801 |
| 2 | Сила притяжения Луны и Солнца в новолуние, FПЛСН | 0,043 371 |
| 3 | Сила притяжения Луны и Солнца в полнолуние, FПЛСП | 0,042 929 |
| 4 | Центробежная сила вращения Луны вокруг Земли, FЦЛЗ | 0,020 000 |
| 5 | Центробежная сила вращения Луны вокруг Солнца в новолуние, FЦЛСН | 0,043 475 |
| 6 | Центробежная сила вращения Луны вокруг Солнца в полнолуние, FЦЛСП | 0,043 253 |
| 7 | Результирующая сила взаимодействий (слияния) и рассогласованности сил притяжения Луны и Солнца в новолуние, Луны и Земли, центробежной силы вращения Луны вокруг Земли и вокруг Солнца в новолуние, FРВРН (вектор к центру Солнца) | 0,000 095 |
| 8 | Результирующая сила взаимодействий (слияния) и рассогласованности сил притяжения Луны и Солнца в полнолуние, Луны и Земли, центробежной силы вращения Луны вокруг Земли и вокруг Солнца в полнолуние, FРВРП (вектор от центра Солнца) | 0,000 523 |
Расчёт показал, что силы результирующего воздействия на Луну (все в совокупности: силы тяготения и центробежные силы) в полнолуние в 5,5 раза превосходят силы в новолуние:
(0,000 523 · 1022 Н ) : (0,000 095 · 1022 Н) = 5,5 раза
Полученные результаты математических расчётов свидетельствуют, что в условиях всемирного тяготения, в соответствии с законами механики, физически не может существовать равновесие между силами тяготения космических тел и центробежными силами их вращения в многорычажной кинематической системе космической механики Вселенной.
Возможно, что это одна из причин, по которой Альберт Эйнштейн произнёс известную в научном мире фразу:
В дополнение отмечу, что в системах вращения материального тела вокруг другого тела, с взаимным тяготением, физически не существует точки равновесия сил тяготения ещё и потому, что в таких системах тела либо скрепляются тяготением, либо разлетаются друг от друга под воздействием центробежных сил – третьего не дано. Даже в примитивной системе линейного тяготения тел физически не существует точки равновесия их сил. Этому свидетельствует следующий опыт, известный многим людям:
Опыт с тремя магнитами (имеющими разные поля), порождающими взаимное тяготение (где центральный магнит нанизан на инертный шток), демонстрирует, что в системе притяжения, тело, находящееся между двух тел тяготения, неизбежно притянется к одному из этих тел (рис. ниже).
Рис. Схема опыта с притяжением центрального магнита

Однако, что мы наблюдаем в натурных условиях – Луна имеет уравновешенное орбитальное движения вокруг Земли и не сходит со своей орбиты, как и не «липнет» к Земле или Солнцу. Возникает справедливый вопрос: в каких условиях способна функционировать космическая механика, если в условиях тяготения она физически существовать не может?
Гармоничное уравновешивание сил наблюдается в механических системах, базирующихся на принципе сил отталкивания. Это подтверждает опытов с системой однополярных магнитов, в которой силы отталкивания уравновешивают объект между источниками сил отталкивания (рис. ниже).
Рис. Схема опыта с отталкиванием центрального магнита

Космическая механика функционирует, как я полагаю, не на принципе притяжения, а на принципе отталкивания (выталкивания) материи центробежными силами космической механики.
Рассматривая процесс вывода на орбиту искусственного спутника Земли, я полагаю, что происходит уравновешивание силы его гравитации (центробежных сил внешнего воздействия космоса) с центробежной силой вращения спутника вокруг Земли посредством подбора его скорости. Иными словами – достигается равновесие центробежных сил вращения спутника вокруг Земли с силами, выталкивающими спутник из пространства космоса.
Противоречивость мнения о существовании всемирного тяготения мне видится ещё в следующем. Мы ведь не можем не понимать, что в случае существования всемирного тяготения, вектора тяготения двух космических тел, например, Солнца и Земли, должны на той половине сферы Земли, где ночь – совпадать, а на той половине, где день – разниться (иметь противоположное направление). Учитывая, что масса Солнца более чем в 300 тысяч раз превышает массу Земли, то и сила тяготения Солнца должна была бы в 300 тысяч раз превосходить силу тяготения Земли. Это значит, что при вращении тела Земли вокруг своей оси, вес половины всей материи Земли должен постоянно меняться в зависимости от времени суток. В таком случае, к примеру, днём океан будет в тысячи раз легче, чем ночью.
Ниже на рисунке представлена схема векторов сил тяготения, где показана разница направлений векторов тяготения Солнца и Земли днём и совпадение их ночью.
Рис. Условная схема направлений векторов сил тяготения Земли и Солнца

Условные обозначения:
– Тело Солнца
– вектор силы притяжения Солнца
– Тело Земли
– вектор силы притяжения Земли
– сфера притяжения Солнца
– вектор вращения Земли вокруг оси
– сфера притяжения Земли
– вектор вращения Земли вокруг Солнца
В целях определения параметров веса материи на Земле в различное время суток, месяца и года мной был осуществлён опыт, который свидетельствовал, что изменения веса материальных объектов, как и ускорения свободного их падения, при вращении космических тел вокруг друг друга и вокруг собственной оси не происходит. Вес предметов (для измерения использовались стеклянные герметичные ёмкости с водой и электронные весы), статично расположенных в одной точке (в условиях покоя), в течение суток, месяца и всего года абсолютно не изменяется (ни на один микрограмм). Иными словами, космические объекты абсолютно инертны к земной материи, как и друг к другу.
Заявления науки о том, что Луна (в основном) влияет на отливы и приливы, видятся малоосновательными, так как масса Луны в 27 тысяч раз меньше массы Солнца. То и сила тяготения Солнца влияла бы на материю Земли более чем 80 раз сильней, чем Луна (прошу не путать с показателями взаимного притяжения Земли и Солнца по формуле Ньютона).
Полагаю, что отливы и приливы, связаны с тем, что Земля, вращаясь в плоскости эклиптики на космических скоростях по орбите вокруг Солнца и Галактики, а также вокруг собственной оси, не может не испытывать системное некоторое воздействие центробежных сил, что приводит к циклическому незначительному смещению водных масс Мирового океана.
Далее, представим абстрактную картину. Могла ли в условиях всемирного тяготения существовать гидросфера и атмосфера? С точки зрения механики и динамики газов в условиях суточного изменения веса материи на Земле на одной её половине (где день) воздух был бы разряжен, а на другой половине, где ночь, сжат. В таких условиях атмосфера не могла существовать бы в виде круглой сферы, а всегда устремлялась бы в область разряжения. И с учётом скорости вращения Земли вокруг своей оси (465,1 м/с) происходило бы сильнейшее трение воздуха, сметающего всё на своём пути. А что вообще происходило бы с Мировым океаном, с плазмой Земли и её тектоническим строением? Что происходило бы с плазмой Солнца? Имела бы плазма Солнца форму шара, в случае его притяжения центром Галактики? Полагаю, что Солнца не было бы, как и других звёзд и планет.
Это мои гипотетические измышления, но они предметные, так как атмосфера равномерно окутывает твёрдую сферу Земли и вращается с огромной космической скоростью вместе с телом нашей планеты и его вакуумной сферой в пространстве Вселенной как единое целое (в безопасном вакуумном коконе). И на Земле имеются стабильные условия для нашей жизни. Происходит это благодаря отсутствию внешнего притяжения (возмущения) другими планетами и звёздами, а также благодаря стабильности наисильнейших центробежных сил и стабильности веса материи на нашей планете, стабильности космического вакуума.
Дополнительно приведу ещё одно убедительное обоснование того, что гравитация есть наисильнейшее механическое явление:
Задумаемся, если исчезнет гравитация, что произойдёт? Ответ: все Звёзды и планеты вмиг взорвутся, так как сработает градиент разницы наисильнейшего механического давления в их сферах и окружающего космического вакуума. Произойдёт Вселенский взрыв, «хлопок», и материя, как и существующая в космосе разница её давления, равномерно распределятся в пространстве Вселенной. Все пространство космоса станет относительно однородной субстанцией с одинаковым давлением и хаотичным размещением материи.
Это говорит ещё о том, что теория Большого взрыва (рассматриваемая наукой), якобы, систематизировавшего Вселенную, видится несостоятельной. Взрыв это деконцентрация материи и хаос, а мы наблюдаем во Вселенной обратную картину – концентрацию материи в виде звёзд и планет с их движением в сложной системе космической механики.
Во Вселенной нет пространства без гравитации. Абсолютно вся материя и всё пространство Вселенной всегда подвержены непрерывному вращению, неизбежно сопровождающемуся возникновением центробежных сил. Вектора этих сил как пересекаются, так и направлены друг против друга. Полагаю, что именно этот механический процесс кинематического вращения всего материального пространства Вселенной направляет вектора центробежных сил в определённые точки этого вращающегося пространства и формирует в них сферы космических тел – звёзд и планет. Эту силу, как мне видится, будет справедливым назвать «Центросферная сила» – гравитация. При этом каждая звезда и планета имеет гравитационный центр, именно в который направлены вектора центросферной силы (см. рис. ниже).
Рис. Условная схема направленийвекторов центросферной силы, формирующих сферу космического тела

Условные обозначения:
Стрелки – векторацентросферной силы космического тела.
Круг – условный разрез сферы космического тела, образованного под воздействием центросферной силы – гравитации.
Гравитация – центросферная сила космических тел, возникшая в результате слияния и рассогласованности центробежных сил вращения материального космического пространства Вселенной.
Космос является непрерывно вращающимся пространством, в котором под воздействием центросферных сил материя концентрируется в виде звёзд и планет, формируя при этом в космическом пространстве вакуум – механическое разряжение (деконцентрацию) материи.
Постигая механическую природу гравитации, становится понятным и то, что такое «вес» и почему один и тот же предмет при неизменной массе имеет разный вес на разных планетах.
Вес это показатель интенсивности воздействия центросферной силы на определённый материальный объект, измерение которого производится с помощью весов, то есть прибора, определяющего силу воздействия гравитации на предмет, измерение которой установлено стандартами: в килограммах, ньютонах, фунтах.
Понимая, что такое вес становится ясно и то, что вся материя Земли подвержена весовой градации. Назовём и определим её так:
Весовая градация веществ – непрерывный процесс послойного размещения веществ твёрдого, жидкого и газообразного состояния в эпицентральном порядке построения сферы Земли, в строгой зависимости от плотности и массы веществ, при котором более плотные массивные вещества, стремясь к центру сферы Земли, вытесняют менее плотные и менее массивные вещества к поверхности, механически системно послойно формируют сферу Земли.
Именно потому, что у всех космических тел имеется гравитационный центр, а их материя подвержена весовой градации, все звезды и планеты сформировались в виде сфер, иного не дано.
В этой статье важно отметить ещё один процесс – естественная конвекция или конвективный гравитационный переток – непрерывное термодинамическое вертикальное взаимное смещение объёмов веществ жидкого и газообразного состояния в атмосфере и гидросфере Земли, возникающий при весовой градации веществ в условиях неравномерного их нагрева природными источниками, влекущего изменение их молекулярной плотности и объёмно-весовых характеристик, а также испарение и конденсацию воды – круговорот воды и воздуха в природе.
Таким образом, причиной механического круговорота атмосферы и гидросферы (гигантских масс) Земли является весовая градация веществ и естественная конвекция, происходящие под воздействием гравитации.
Опыты подтвердили, что механическая весовая градация материальных веществ происходит исключительно под воздействием центробежных механических сил:
В первом опыте осуществлялось вращение цилиндрической прозрачной герметичной ёмкости (трубы), заполненной разнородными веществами: воздухом, водой, мелкой свинцовой стружкой и песком. Опыт продемонстрировал весовую градацию веществ (последовательность послойного их расположения перпендикулярно вектору центробежной силы), аналогичной их весовой градации в условиях Земной гравитации.
Второй опыт с вращением той же трубы, но имеющей ось вращения в центре, продемонстрировал концентрацию материи в краях трубы и деконцентрацию материи в центральной части. Иными словами, воздух был в центре, а остальные вещества послойно распределились по краям трубы.
Третий опыт стал одним из самых обосновывающих. В данном опыте осуществлялось многорычажное вращение той же трубы вокруг четырёх осей вращения: центральной оси вращения самой трубы (ось в центре), закреплённой на первом рычаге осевого вращения, который в свою очередь был закреплён на втором рычаге вращения, закреплённом соответственно на третьем рычаге вращения. При вращении этой кинематической системы в центре трубы сконцентрировался свинец, по его краям песок, затем вода, а воздух распределился по краям трубы. По мере повышения оборотов вращения данной кинематической системы датчики показывали увеличение давления в центральной части трубы и понижение давления на её краях.
Схожая ситуация происходит и в строении тела нашей планеты, где по мере углубления к центру сферы планетного тела возрастает и давление, что также свидетельствует в пользу наличия центросферной силы – результата воздействия центробежных космических сил на Земную материю.
Приближаясь к пониманию механической природы гравитации, становится так же более понятным, почему гравитацию невозможно заэкранировать или отразить (например, подобно световому лучу). Так же становится более понятным, почему на всех звёздах и планетах сила гравитации – вес материальных объектов имеет разницу. Это связано с нахождением того или иного объекта в определённом участке механической системы космоса. То есть, вес связан с орбитальными скоростями и центробежными силами вращения сферы планетного тела в общей кинематической многорычажной системе космической механики. При этом стабильность вращения системы даёт стабильность веса определённого материального объекта на той или иной звезде и планете. И есть вероятность того, что размеры космических тел (звёзд и планет) сформировались в зависимости от гравитационной силы определённых участков вращающейся системы космической механики, в которых они находятся.
Рис. Условная схема формирования центросферных сил на примере Луны, возникающих в процессе её вращения вокруг Земли, Солнца, Млечного пути и его вращения вокруг иных галактик Вселенной.

Условные обозначения:
– Луна – Земля – Солнце – условный центр Млечного пути |
– центросферные силы Луны – вращение Луны вокруг Земли – вращение Земли вокруг Солнца – вращение Солнца вокруг центра Млечного пути – вектор вращение Млечного пути |
Представляемая гипотеза указывает на то, что «гравитация» и «всемирное тяготение» – абсолютно разные понятия.
Гравитация – механическое сжатие материи в виде планет и звёзд под воздействием центросферных сил космической механики Вселенной.
Всемирное тяготение – понятие, не имеющее научного обоснования, о взаимном тяготении всей материи, планет и звёзд Вселенной.
Далее, рассудим о роли вакуума в космической механике:
В одной из статей, размещённой на сайте Российской академии естествознания («О теориях гравитации»), была представлена интересная информация, в которой обозначалось, что космические расчёты, в основе которых лежит общая теория относительности, все чаще дают сбои. Впервые они были обнаружены в поведении космических аппаратов «Пионер-10» и «Пионер-11». Они покидали Солнечную систему по сложной, непредсказуемой орбите. В период, когда «Пионеры» пролетали пояс астероидов, в котором надёжно подсчитан каждый камешек, обнаружились необъяснимые аномалии. Зонды то ускорялись, то замедляли ход без видимых причин. Эти факты посчитали результатом случайных ошибок. В дальнейшем было выявлено, что необъяснимые ускорение и замедление приобретают большинство запущенных с Земли межпланетных космических аппаратов. Отклонения обнаружили у научных спутников «Галилео», «Розетта», «Кассини». В публикации предполагается, что «есть всего два варианта для объяснения космической аномалии: либо законы гравитации неверны, либо траекторию спутников меняют высшие силы».
Я убеждён в том, что, рассматривая структуру пространства Вселенной и устройство её механики, нельзя исключать роль вакуума, который, как я полагаю, выступает связующей силой кинематической механики, как сила связи космических тел Вселенной. При этом в соответствии с газодинамикой и механикой у каждого космического тела должна быть своя центросферная сила и вакуумная сфера, перемещающаяся с ним как единое целое в космическом пространстве. Вакуум в космосе имеет градиент разряжения – разницу разряжения вращающихся участков космического пространства. Именно это, как я полагаю, повлекло отклонения от траектории движения наблюдаемых научных спутников «Галилео», «Розетта», «Кассини».
Приведу один примитивный пример. В прозрачной сферической ёмкости подвешивается за нить теннисный шарик. Из ёмкости через боковое отверстие откачивается воздух. Спустя время, когда шарик обретает состояние покоя, производится дополнительная углублённая откачка воздуха из этого отверстия, и мы наблюдаем, как в этот момент шарик устремляется в область повышенного разряжения. Полагаю, что градиент разряжения космического вакуума воздействует на движение всех планетных тел.
Настоящая гипотеза призвана посмотреть на гравитацию с иной точки зрения. Это поспособствует не только разработке новых технологии, но и поиску ответов на нерешённые вопросы в различных сферах. Например, эти знания помогут приблизить понимание первичных энергетических причин вращения Земли вокруг своей оси, наклона оси её вращения (которые, как я полагаю, связаны с незначительным отклонением и завихрением векторов центросферной силы относительно геометрического центра планетного тела). К тому же результаты этих исследований могут дополнить представление о климатическом устройстве планеты (опять же напрямую связанном с положением оси вращения Земли относительно плоскости эклиптики и трассировки лучей Солнечного света), напрямую влияющем на эволюцию живой природы. Это поможет понять истинную причину вымирания динозавров, вновь связанную, как я полагаю, с гравитацией и асимметрией гравитационного центра Земли под вихревым воздействием векторов центросферной силы, ведущей к наклону оси вращения Земли относительно плоскости эклиптики (которая в идеале должна быть расположена перпендикулярно плоскости эклиптики). Наклон оси повлёк изменение угла трассировки солнечного света, появление разницы во времени суток и сезонности – холода в зимний период на средних широтах и увеличение температуры на полюсах. Как следствие, началось таяние полюсных ледников, повышение уровня Мирового океана, изменение его химического состава и хода эволюции всей живой природы. Ведь хладнокровные гиганты, как и гигантская растительность, могли существовать исключительно в условиях стабильного климата – отсутствия сезонности, штормовых ветров и минусовых температур, а это было возможно на Земле исключительно лишь при вертикальной оси её вращения и на средних широтах нашей планеты.
Рис. Усреднённые показатели температурных порогов на широтах поверхности Земли при вертикальной оси её вращения



Возвращаясь к основной теме, отмечу уже очевидный факт того, что именно гравитация явилась исходной силой и причиной построения космических тел, а, следовательно, и неиссякаемых источников энергии в космосе и на Земле (например, излучение Солнца). При этом сама гравитация также является неиссякаемой космической силой постоянного действия, благодаря которой происходит непрерывное механическое движение материи на нашей планете – механический круговорот атмосферы и гидросферы (гигантских масс) Земли.
Это значит, что на Земле при весовой градации веществ, гравитация преобразуется в механическую энергию.
Следовательно, гравитацию допустимо и необходимо рассматривать как отдельный самый стабильный и неиссякаемый космический источник механической силы на Земле, преобразовать которую в полезную работу и энергию возможно только механическим способом, посредством весовой градации веществ. Иного способа не существует. В этой связи процесс весовой градации веществ явится основополагающим при разработке принципа действия механических устройств, преобразующих гравитацию в полезную энергию промышленным способом.
Наш «полёт в космос» на этом завершён. Остался только не решённым один вопрос: что является причиной (парадигмой) вращения материального пространства Вселенной. Но это вопрос отдельного изучения.
Далее, мы рассмотрим использование силы гравитации в энергетике, перейдём от фундаментальных вопросов к прикладному применению силы гравитации совместно с другими видами неиссякаемых и возобновляемых источников энергии в системах ресурсонезависимого градостроительства.
Здесь, в первую очередь, необходимо вновь вспомнить одно, казалось бы, простое общеизвестное физическое явление – конвекция, при которой, в процессе весовой градации, холодный воздух (более плотный и тяжёлый), притягиваясь по направлению к центру Земли, вытесняет тёплый воздух (менее плотный) вверх от Земли (см. рис. ниже).
Рис. Условная схема весовой градации воздушных масс

Конвекция есть одна из причин существования ветра на Земле.
Далее, вспомним такое явление, как атмосферный вихрь – торнадо (атмосферный рукав), возникающий в кучево-дождевом (грозовом) облаке, когда нагретый воздух устремляется вверх в отверстие в облаке, создавая зону разряжения, а холодный воздух большого объёма устремляется вниз. То есть воздух, из области повышенного давления, стремится (перекачивается) в область с пониженным давлением. По сути это термодинамический насос. При этом горизонтальные ветровые потоки вовлекаются и усиливают данный термодинамический процесс. Потенциал и энергетическая мощность такого явления весьма значительны, а его источниками являются тепловая энергия Земли и Солнца (нагревшими воздух), а главное – гравитация и весовая градация веществ.
Вопрос: возможно ли создать искусственным способом локальные условия для схожих процессов с целью промышленной генерации энергии.
Полагаю, большинство людей обращали внимание на генерацию ветра в арках больших зданий, в то время когда вокруг здания не было фоновых ветровых потоков. Причина этого явления также заключается в конвекции воздуха, окружающего здание. То есть здание с аркой – термодинамический насос. В арке здания происходит переток воздуха из области повышенного давления в область с пониженным давлением. При этом фоновые ветровые потоки вовлекаются в этот процесс, и в арке происходит значимое ускорение потоков и возрастает многократно их мощность.
В этой связи группой специалистов под моим руководством разработаны градостроительные комплексы зданий-энергостанций, в виде концентраторов-генераторов потоков воздушных масс, генерирующих энергию промышленным экологически безопасным способом в объёмах, превышающих объёмы потребления энергии самими зданиями. При этом избыточная электроэнергия будет поставляться в магистральные сети.
Принцип устройства концентратора потоков заключается в системе радиальных воздуховодов – наклонных конфузоров (арок), формирующих пирамидальную форму строения. В центре концентратора-генератора расположена вихревая камера со встроенной аэродинамической турбиной карусельного типа (с вертикальной осью) на монополярной магнитной подушке. Сверху находится кровля в виде усечённого конуса с отверстием (эжекционное сопло) над турбиной (см. рис. ниже).
Рис. Демонстрационный действующий макет (с прозрачной кровлей и прозрачной турбиной) одного из вариантов концентратора-генератора потоков воздушных масс

По принципу работы указанного концентратора-генератора воздушных потоков устроены комплексы жилых зданий-энергостанций (см. рис. ниже).
Рис. Внешний вид комплекса жилых зданий-энергостанций с блокированным (в центре) гаражом-стоянкой (имеющим поэтажное сообщение с жильём и инфраструктуру электромобиля), над которым расположена аэродинамическая турбина, имеющая монополярную магнитную подушку.

Это большой термодинамический насос, формирующий условия для возникновения разницы (градиента) давления воздуха на прилегающих к домам территориях в целях весовой градации воздуха и его перетока из области повышенного давления в область с пониженным давлением независимо от внешних фоновых воздушных потоков, наличие которых только усиливает суммарную мощность потоков. Такие комплексы зданий, позволяют любое движение воздуха (конвективное и фоновое) концентрировано направлять в вихревую камеру на ротор турбины (на монополярной магнитной подушке) и преобразовывать воздушные потоки с любых направлений в полезную энергию (см. рис. ниже).
Рис. Условный вид комплекса сверху: где темно-синим цветом показаны области повышенного давления воздуха, а светло-синим – пониженного, темно-синими стрелками направление движения набегающего фонового потока, светло-синими – уходящего.

Рис. Концептуальная модель энергоактивного комплекса жилых зданий-энергостанций с блокированным (в центре) гаражом-стоянкой, имеющим поэтажное сообщение с жильём и инфраструктуру электромобиля

Естественно, в настоящей статье не могут быть представлены все технологические детали, но здесь важно отметить, что генерация энергии таким способом является, по сути, непрерывным процессом весовой градации, а сам комплекс таких зданий выступает в роли двигателя непрерывного действия (термодинамический насос, вращающий аэродинамическую турбину), где для остановки воздушного потока и вращения турбины требуется закрытие в вихревой камере атмосферных шлюзов (роллетных устройств).
Читатели, интересующиеся действием системы, имеют возможность увидеть её в работе в сети интернет на примере моделей подобия. Видеоматериал размещён на сайте Международной ассоциации менеджмента недвижимости: http://jildom.com/kniga/energiya-mira.html.
Также наряду с гравитацией в системах энергоснабжения зданий нами учтены и применяются всевозможные другие виды возобновляемых и неиссякаемых источников энергии, таких как солнечный свет, геологический и атмосферный термальный ресурс, глубокая утилизация отходов и другие.
Развитие этого энергетического направления по строительству зданий-энергостанций позволит формировать из жилищного фонда альтернативную кластерную энергосистему, способствуя снижению удельной себестоимости энергии и жилищно-коммунальных услуг.
Для целей апробации данных решений было создано предприятие – ЧСУП «Дом Парк», подобран земельный участок в микрорайоне Сокол г. Минска для строительства жилого ресурсонезависимого квартала «Дом Парк», содержащего большой перечень объектов жилищно-гражданского и научного назначения, социальную, транспортную, инженерную и производственно-коммерческую инфраструктуру.
Данный проект получил положительное заключение государственной-научно-технической экспертизы Государственного комитета по науке и технологиям Республики Беларусь, а его реализация утверждена руководством страны:
Учитывая мировую тенденцию рационального обращения с ресурсами, ЧСУП «Дом Парк», при административном содействии Министерства архитектуры и строительства Республики Беларусь, разработало социально ориентированную экономическую модель хозрасчётного метода ведения автономного коммунального хозяйства жилищного фонда – система ресурсонезависимого коммунального хозяйства (далее – система РКХ, или РКХ-система), где жизнеобеспечение жилых зданий ресурсами полноценно осуществляется исключительно от локальных ресурсных источников.
В системе РКХ под ресурсами понимаются:
Система РКХ также будет применена в рамках квартала «Дом Парк».
В завершении статьи хочу выразить признательность, всем кто её прочитал. Полагаю, что статья вызовет вопросы и, возможно, интересные дискуссии относительно природы гравитации и технологий её преобразования. Я уверен, что представленный материал несёт созидательную направленность, как с фундаментальной, так и прикладной стороны. При этом внедрение обозначенных инноваций видится необходимостью. Однако данный путь, естественно, как и путь других инноваций, сопряжён с рядом правовых и административных сложностей, тормозящих реализацию представленного проекта. Вместе с этим я надеюсь, что именно в Беларуси, данные инновации, при поддержке руководством страны, будут впервые воплощены в жизнь.
Доктор философии (PhD, градостроительство), эксперт Международной ассоциации менеджмента недвижимости,
Директор ЧСУП «Дом Парк» Прус И.В.