Шмат Т.М. ассистент, УО «Мозырский государственный педагогический университет им. И.П.Шамякина» г. Мозырь, Астрахан Б.М. к. т. н., доцент УО «Белорусский государственный аграрный технический университет»
В статье представлены конструкция предложенного устройства для инкрустации семян кукурузы и результаты её экспериментальных исследований.
In article present construction of facility for encrustation seed of maize and results of experimental research
Современные тенденции развития сельского хозяйства показывают, что все большую значимость в получении высоких урожаев занимают комплексные мероприятия по интегрированной защите растений от вредителей, болезней и сорняков. Среди них особое место занимают мероприятия по подготовке к посеву семян, которые обеспечивают повышение урожайности всех основных сельскохозяйственных культур, в том числе зерновых – на 15-20%, сахарной свеклы – на 5-10% и кукурузы – на 7-12% [1].
Несмотря на значительные финансовые вложения в указанные мероприятия, ситуация с зараженностью семян остается сложной. Одной из причин этого является некачественная инкрустация семян из-за отсутствия эффективного оборудования для его осуществления.
Инкрустация – технологический процесс, посредством которого на поверхность семян наносится водный раствор пленкообразователя, представляющего защитную среду, в который кроме протравителей, введены вещества, стимулирующие рост и развитие растений. Эти вещества закрепляются в оболочке на поверхности семян, обеззараживают их, закрывают места микротравм, изолируют их от патогенной микрофлоры почвы, уменьшают потери биологически активных веществ с поверхности семян.
Под влиянием микроэлементов возрастает устойчивость растений к грибным и бактериальным заболеваниям и неблагоприятным условиям внешней среды: атмосферной и почвенной засухе, пониженным и повышенным температурам воздуха, почвы, условиям перезимовки и т.д. Основное преимущество инкрустации перед протравливанием – снижение потребности в препаратах. При инкрустации количество пестицидов можно уменьшить в 1,5-3 раза по сравнению с протравливанием [4,5]. Особого внимания при подготовке к посеву требуют семена кукурузы, так как они обрабатываются централизованно, на специализированных предприятиях и поступают в хозяйство в готовом к посеву виде. Некачественная их подготовка может привести к потере урожая кукурузы во всём регионе на который работает это предприятие.
Одним из таких специализированных предприятий является Мозырский кукурузокалибровочный завод.
На заводе с 2004 года установлен протравливатель HANKA Р214, который ежегодно требует замены узлов и не удовлетворяет по производительности.
Протравливатель с непрерывно действующей системой работы HANKA Р214 предназначен для мокрого протравливания семян кукурузы. Он имеет производительность от 5 до 6 т/час и предназначен для предприятий, занимающихся подготовкой посевного материала. Для протравливания на нём семян могут использоваться как водные растворы, так и эмульсии и суспензии или жидкие протравители на водных и органических растворителях.
Недостатком конструкции этого устройства является смещение загрузочного бункера относительно пассивного распределительного устройства, что приводит к неравномерному распределению обрабатываемого семенного материала по периферии пассивного распределителя и неоднородности кольцевого потока семян, сходящих с распределителя. Кроме того¸конструкцией не предусматривается инкрустация семян.
Для решения этих проблем, было разработано устройство для нанесения инкрустирующего раствора на семенной материал (рис. 1) новизна которого подтверждена патентами на полезную модель [2] и патентом на изобретение [3]. Оно содержит (рис. 1) бункер 1 с семенами 2, пассивный распределитель семян 3, электродвигатель 4, выход вала 5 электродвигателя 4 для привода активного распределителя семян 8, выход вала 6 электродвигателя 4 для привода диска 7 распыления инкрустирующего раствора, расположенного в нижней части распределителя 3. В верхней части распределителя 3 расположен активный распределитель семян 8, который выполнен в форме псевдосферы с криволинейной образующей обращенной вершиной навстречу потоку семян [2, 3]. Устройство содержит также трубопровод 9 для подвода инкрустирующего раствора.

Рисунок 1. Устройство для нанесения инкрустирующего раствора на семенной материал
1-бункер, 2-семена, 3-пассивный распределитель семян, 4-электродвигатель, 5-вал электродвигателя, 6-вал электродвигателя, 7-диск распыления инкрустирующего раствора, 8-активный распределитель семян, 9-трубопровод подвода инкрустирующего раствора
Предложенное устройство работает следующим образом.
Семена 2 из бункера 1 попадают на поверхность активного распределителя семян 8 и при сходе с него попадают на поверхность пассивного распределителя семян 3, образуя однородный кольцевой поток семян. Привод активного распределителя семян 8 осуществляется от вала 5 электродвигателя 4, а диска распыления инкрустирующего раствора 7 от вала 6 этого же электродвигателя. Инкрустирующий раствор на диск 7 попадает по трубопроводу 9.
Экспериментальная установка была разработана в Мозырском ГПУ им. И. П. Шамякина и изготовлена на Мозырском кукурузокаклибровочном заводе. Здесь же проводились и испытания этого устройства. Устройство использовалось для нанесения инкрустирующего раствора на семена кукурузы. Целью испытаний была проверка целесообразности выполнения активного распределителя семян в виде псевдосферы и уточнение значений частоты вращения N, мин-1 активного распределителя, диаметра D, мм в его нижней части и получения регрессионных зависимостей для показателя равномерности инкрустации в случае применения прямого конуса и псевдосферы.
Для оценки равномерности распределения семян по периферии пассивного распределителя, поверхность последнего была разделена на 8 ячеек (табл. 1). За показатель равномерности η была принята дисперсия массы семян по ячейкам
Построение указанных регрессионных зависимостей проводилось в области, выбранной на основании предварительных исследований и конструктивных соображений N = 500 – 1500 мин-1, D = 80 – 90 мм. Были введены кодированные переменные
![]()
вследствие чего область исследований приняла вид
![]()
Условия проведения опытов соответствовали рекомендациям [4] и представлены в таблице 1.
Таблица 1. Условия проведения опытов
| № опыта | 1 | 2 | 3 | 4 | 5 | 6 | 7 | 8 |
| x1 | +1 | -1 | +1 | -1 | +1 | -1 | 0 | 0 |
| x2 | +1 | +1 | -1 | -1 | 0 | 0 | +1 | -1 |
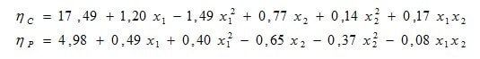
В результате проведения опытов получены регрессионные зависимости для случая прямого конуса и псевдосферы ηC и ηP соответственно

Анализ полученных зависимостей показал, что замена распределителя в виде прямого конуса на распределитель в виде псевдосферы существенно снижала величину η, и, следовательно, значительно повышала равномерность распределения обрабатываемого семенного материала по периферии распределителя и однородность кольцевого потока семян, сходящих с распределителя. Выполнение производственной конструкции иногда требует смещения загрузочного бункера относительно распределительного устройства. Исследования показали, что в случае прямого конуса смещение не должно превышать 10 мм, а в случае применения псевдосферы можно допустить смещение до 20 мм.
Внедрение технологии обработки семян кукурузы, основанной на применении предложенного устройства, позволяет значительно повысить равномерность распределения семян по поверхности активного распределителя, создать однородность кольцевого потока семян, повысить их защиту и, тем самым, снизить потери инкрустирующих растворов, что в итоге уменьшит себестоимость производимых в Республике Беларусь семян кукурузы.
Так как урожайность кукурузы во многом зависит от уровня защиты семян при подготовке их к посеву, то его повышение создаёт условия для её роста.
1. Материалы РНИУП «Институт земледелия и селекции НАН Беларуси» / М.А. Кадыров, П.П. Васько, А.В. Сикорский и др. – Минск: Изд-во РНИУП, 2002. – 186 с.
2. Устройство для нанесения инкрустирующего раствора на семенной материал: патент на полезную модель № 5572 Респ. Беларусь, МПК А 01С 1/06 (2006.01) /А.В. Кузьмицкий, Т.М. Шмат, М.Г. Борисенко; заявитель УО Белорусский гос. аграрный технический ун-т. – № а 20090298; заявл.03.03.09; опубл. 30.10.09 // Афiцыйны бюл. / Нац. цэнтр iнтэлектуал. уласнасцi. – 2009.
3. Устройство для нанесения инкрустирующего раствора на семенной материал: патент на изобретение №15076 Респ. Беларусь, МПК (2006) А 01С 1/06/А.В. Кузьмицкий, Т.М. Шмат, М.Г. Борисенко; заявитель УО Белорусский гос. аграрный технический ун-т. – № u 20090170; заявл.03.03.09; 30.10.10 // Открытия. Изобрет. – 2010.
4. Митков, А.Л. Статистические методы в сельхозмашиностроении /А. Л. Митков, С.В. Кардашевский. – М.: Машиностроение, 1978. – 320 с.
5. Анспок, П.И. Микроудобрения / П.И. Анспок. – Справочник.– 2-е издание, переработанное и дополненное.– Л.: Агропромиздат. Ленинградское отделение, 1990.– 272 с.
6. Битюцкий Н.П. Микроэлементы и растение. Учебное пособие. – СПб.: Издательство Санкт-петербургского университета, 1999. – 232 с.